開關電源同步整流芯片工作原理
字號:T|T
隨著開關電源技術的不斷發展,低電壓大電流降低功耗已成為電源工程師的難題,開關電源的損耗主要由功率開關管損耗、高頻變壓器損耗、輸出端整流管損耗三部分組成,開關電源同步整流芯片有利于降低電路的整體功率消耗,以滿足六級能效的需求。
開關電源同步整流芯片工作原理:同步整流是采用通態電阻極低的專用功率MOSFET,來取代整流二極管以降低整流損耗的一項新技術,它能有效提高變換器的轉換效率,并且不存在由肖特基勢壘電壓而造成的死區電壓,并可利用其二次側的優勢改善電源指標。

同步整流從拓撲架構角度可分為High side和Low side兩大類,但從控制策略角度來看,同步整流可分為DCM模式和CCM模式,而CCM模式又以預測關斷和快速關斷為主導,那么他們之間又有什么優缺點呢。
同步整流DCM模式

優點:算法簡單可靠,外圍精簡!
缺點:控制算法與MOSFET通態電阻相關;SR須與原邊芯片配合,僅能工作在不連續導電模式。
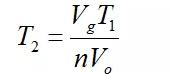
CCM模式--預測關斷

由SR開關波形撲捉Vg/n、Vo、T1信息,根據負秒平衡原理,估算SR關斷點:

優點:控制算法與MOSFET通態電阻無關,應用靈活;SR深度導通,轉換效率高!
缺點:需采用電阻及積分電容提取相關信息,外圍復雜、誤差大;伏秒不平衡工況下(模式切換)有技術風險。
CCM模式--快速關斷

優點:算法簡單可靠,外圍精簡!
缺點:控制算法與MOSFET通態電阻相關;SR在t1~t2區間非深度導通,轉換效率有所降低。
通過以上幾種模式我們看出,同步整流控制器無論是那種模式都是具有算法簡單可靠,外圍精簡等優點,下面推薦一款開關電源同步整流芯片PN8308H。
PN8308大功率同步整流芯片內置10mΩ 80V Trench MOSFET,控制器實時跟蹤功率MOSFET電流,進一步加快關斷速度,以提高電流輸出能力,提升轉換效率,PN8308H開關電源同步整流芯片集成了極為全面的輔助功能,包含輸出欠壓保護、最小導通時間等功能,適用于CCM,DCM和QR工作模式,用于在高性能AC/DC反激系統中替代次級整流肖特基二極管,廣泛應用于9V/12V輸出適配器。
同類文章排行
- ap8022代換viper22a可兼容,不改PCB及外圍
- 電源芯片sdh8302s可PIN腳代換VIPER12A/AP80
- 什么是MOS管的雪崩及mos管雪崩擊穿原理!
- 常用dc-dc降壓芯片推薦
- 國產電源管理芯片有哪些?
- sdh8303代換viper22a/AP8012H,PIN腳兼容無
- PN555L內置690V小功率非隔離芯片可替PN8008
- IR4427替換芯片ID1127雙低側、大電流驅動,
- 常用低壓mos管型號及選型!
- ob2269替代芯片CR6842成本低,性能更穩定!
阿里巴巴店鋪
關注驪微
收藏驪微

