高精度原邊反饋恒流恒壓芯片-PN8611
字號:T|T
PN8611高精度原邊反饋恒流恒壓芯片是一款高性能的原邊反饋控制器。PN8611工作在原邊檢測和調整模式,可省略系統的光耦和TL431。PN8611擁有恒壓恒流控制環路,可以實現高精度的恒壓、恒流輸出,以滿足大部分充電器和適配器需求。PN8611內置高壓啟動電路和極低的芯片功耗使得系統能夠滿足較高的待機功耗標準。
1. 高壓啟動控制
在啟動階段,采用高壓啟動技術,芯片啟動前2mA電流源為內部偏置電路供電并給外部VDD電容充電,快速啟動。當VDD電壓達到VDDon,芯片開始工作的同時高壓啟動電路關斷;只要VDD電壓不低于VDDoff,芯片維持正常工作。啟動后,偏置電路通過輔助源供電,同時啟動電路只有一路極小的電流,實現低損耗。
2. CC 工作模式
在CC工作狀態,PN8611原邊反饋恒流恒壓芯片采樣FB引腳的信號(由輔助繞組信號通過電阻接入FB),輔助繞組信號脈寬決定振蕩頻率。輸出電壓越高,脈寬越小,同時振蕩頻率越高,這樣可獲得恒定的輸出電流。非連續模式的電流工作波形如圖1所示。在MOSFET導通(Ton)期間,原邊電流Ipri上升。當MOSFET關閉時,變壓器原邊的能量會傳遞到次級,次級電流最大值為

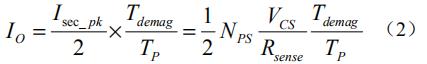
輸出電流值為

當TP=2×Tdemag,且VCS恒定時,輸出電流IO是恒定值,因此可以得到恒流輸出。

3. CV 工作模式
在CV工作狀態,PN8611原邊反饋恒流恒壓芯片使用脈沖采樣VFB電壓,并保持到下個采樣點。將采樣的電壓和VREF_CV基準比較,并放大誤差。這個誤差值代表負載情況,通過控制開關信號,調節輸出電壓,使得輸出恒定。
輸出電壓Vo和VREF_CV的關系為

其中, NS 和 NAUX 分別為次級繞組和輔助繞組的圈數。
在重載條件,芯片工作在PFM模式,Ipeak不變,工作頻率隨輸出電流減小而減小;當頻率減小到25kHz左右,芯片進入PWM模式,頻率調制變得非常緩慢,Ipeak隨輸出電流減小而減小,該模式可以避免音頻噪音,同時有利于提升25%帶載效率;當芯 片 Ipeak 調制到 200mA ,芯片進入空載模式(Standby模式),Ipeak不變,工作頻率隨輸出電流減小而減小,波形如圖2所示。

4. 電流檢測和前沿消隱
PN8611高精度原邊反饋恒流恒壓芯片提供逐周期電流檢測功能。芯片通過智能MOS采樣管檢測功率管電流,原邊電流最大值設置為520mA,最大輸出功率由芯片固定。功率管開通瞬間會產生尖峰電壓,內部前沿消隱電路可防止誤觸發。
5. 保護控制
PN8611高精度原邊反饋恒流恒壓芯片含有豐富的保護功能,包括:逐周期過流保護、輸出過壓保護、過溫保護、開環保護、輸出短路保護、VDD欠壓鎖定保護功能,并且這些保護具有自恢復模式。
驪微電子代理銷售各大品牌的充電器芯片、適配器芯片、小家電芯片等各類電子元器件,可以滿足市場多樣化的需求,為客戶提供高性價比、性能優異、品質穩定的電源方案及現場技術支持服務,更多相關方案資料可向我們申請。>>
驪微電子代理銷售各大品牌的充電器芯片、適配器芯片、小家電芯片等各類電子元器件,可以滿足市場多樣化的需求,為客戶提供高性價比、性能優異、品質穩定的電源方案及現場技術支持服務,更多相關方案資料可向我們申請。>>
上一篇: 小體積20W PD快充方案 下一篇:2021年春節放假通知!
同類文章排行
- 常用電源管理芯片型號介紹
- PN8680M替代OB2500POP腳位一樣,無需改板省
- AP8012H代換ST Viper12A可PIN to PIN兼容
- 主流的快充協議芯片PD充電芯片
- 200V高耐壓DC-DC降壓型電動車控制器芯片
- 富滿pd協議芯片系列,pd快充協議芯片選型!
- 富滿20-65W PD協議芯片
- PN8036M寬輸出范圍非隔離ac/dc電源芯片
- PN8046寬輸出非隔離轉換芯片
- 芯朋微(安趨)電機驅動芯片選型指南!
阿里巴巴店鋪
關注驪微
收藏驪微

